一起来捉妖以爱之名基因配方线索解密 以爱之名基因配方线索是什么
2019-5-160大中小
一起来捉妖以爱之名基因配方线索是什么,相信很多玩家都不知道,那么本次新出的以爱之名基因配方会有哪些基因呢,下面嗨客小陈为大家介绍一起来捉妖以爱之名基因配方线索解密。
一起来捉妖以爱之名基因配方线索解密
想要知道“以爱之名”是由什么基因组成就要破解上面这图中的线索,这是官方给我们的线索。
STORY XLIX
这是第一条线索,其中“STORY”是一个英文单词,翻译成中文为故事。“XLIX”则是罗马数字,翻译成我们正常使用的阿拉伯数字为49。也就是说线索一要我们去“故事49”中寻找,在游戏中每个妖灵都有自己的故事,而“故事49”正是妖灵山毛毛的故事,那就是第一条基因跟山毛毛有着密切的关系。
一段乐谱
线索4小节乐谱与花儿乐队/大张伟的歌曲《穷开心》曲谱主题段前4小节完全一致(可自行查证),即线索为穷开心,最接近基因为嘴巴部位的开心派。
摩斯密码
线索3是一段摩斯密码,图上是翻译的结果为“BMYS",这个并不是英文而是一个成语的拼音缩写“闭目养神”,而且基因图鉴中正好有。
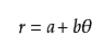
极坐标方程
这个涉及到数学,上面这个方程式是阿基米德螺线的极坐标方程式,想要更详细了解这个方程式的可以去搜索,通过坐标来表达就是图下这样的,是一个等距螺旋。当我们看到这个图的时候,我想到了一个细节,那就是在猫的基因图鉴中要个猫的脸上正好要这个图,那就是“嫣然娇羞”。
官方微博线索
基因部位官方微博提示4个线索分别对应4个部位,且在大事件海报中有重要提示。在大事件海报中,套装猫的背景为身体部位的标识,且按顺序分别为耳朵、嘴巴、眼睛、胡须。此结果完全印证上文推断。同时,由于未出现花纹标识,可排除线索4的螺旋封印选项。
补充证据
已知的4基因配方构成法观察八方招财和侏罗纪配方可发现其均由2个合成基因+2个基础基因构成,且2个合成基因中一个有技能、另一个无技能。上文对以爱之名的推断恰好也符合此构成法——开心派和小毛毛分别为有技能和无技能的合成基因,而闭目养神和嫣然娇羞为基础基因。
总结
以爱之名=小毛毛+开心派+闭目养神+嫣然娇羞
一起来捉妖试玩视频
5.0分






























































时间:7月23日-12月31日
时间:7月16日-12月31日
时间:7月9日-12月31日
时间:7月2日-12月31日
时间:7月2日-12月31日
时间:6月4日-12月31日
时间:6月4日-12月31日
时间:6月3日-12月31日
网友评论